Pengertian Tuas Macam Cara Kerja Rumus Dan Contohnya Pengertian Tuas Macam Cara Kerja Rumus Dan Contohnya 2

Tuaspengungkit adalah sebuah pesawat sederhana yang dipakai oleh manusia untuk merubah efek atau hasil dari gaya yang dikerjakan. Pengertian tuas atau pengungkit rumus macam macam dan contoh tuas serta contoh soal dan pembahasan lengkap tuas atau pengungkit merupakan pesawat sederhana. Tuas atau pengungkit merupakan jenis pesawat sederhana yang terdiri dari titik tumpu kuasa dan beban.

lazy


Pengertian Tuas Atau Pengungkit Rumus Macam Macam Dan Contoh Tuas Lengkap Pelajaran Sekolah Online
www.pelajaran.co.id
lazy


Peswat Sederhana Idschool
idschool.net
lazy


Pesawat Sederhana Jenis Rumus Keuntungan Mekanis Soal Fisika
www.fisika.co.id
lazy


Penerapan Pesawat Sederhana Pengungkit Tuas Lanjutan Artikelnesia
artikelnesia.com
lazy


Https Encrypted Tbn0 Gstatic Com Images Q Tbn 3aand9gcruukpt24t0y5ai9eyttq5mcbfcmkqbw6hr7mf06qygmfu6yfef Usqp Cau
encrypted-tbn0.gstatic.com
lazy


Pengertian Rumus Jenis Tuas Pengertian Ahli Pengertian Ahli
pengertianahli.id

Pembahasan kali ini adalah tentang pengertian tuas atau pengungkit contoh tuas atau pengungkit rumus tuas atau pengungkit macam macam jenis tuas atau pengungkit dan cara kerja tuas atau pengungkit.

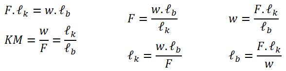
Pengertian tuas macam cara kerja rumus dan contohnya pengertian tuas macam cara kerja rumus dan contohnya 2. Pengertian tuas atau pengungkit tuas atau pengungkit merupakan pesawat sederhana yang usianya paling tua dibanding pesawat sederhana yang lain. Tuas dibedakan menjadi tiga yaitu tuas jenis pertama tuas jenis kedua dan tuas jenis ketiga. Pengertian tuas atau pengungkit tuas atau pengungkit merupakan pesawat sederhana yang usianya paling tua dibanding pesawat sederhana yang lain.

15 m 1 m 25 m jadi panjang tongkat minimal adalah 25 m. Tuas dibagi menjadi tiga macam selengkapnya berikut ini. Prinsip kerja tuas atau cara kerja tuas dapat dilihat pada gambar dibawah ini.

Sistem kerja dari tuaspengungkit terdiri atas titik tumpu beban serta kuasa yang bervariasi letaknya. Ada seorang anak yang sedangn mencongkel batu dengan menggunakan sebatang kayu. Tuas atau pengungkit merupakan jenis pesawat sederhana yang terdiri dari titik tumpu kuasa dan beban.

Secara umum tuaspengungkit terbagi menjadi tiga jenis yaitu. Begitu juga halnya jika tidak adanya alat alat tuas yang lain. Ketiga jenis tuas tersebut didasarkan pada posisi sistem kerjanya.

Pengertian tuas atau pengungkit tuas atau pengungkit itu merupakan pesawat. Demikianlah penjelasan mengenai pengertian tuas macam cara kerja rumus dan contohnya semoga apa yang diuraikan dapat bermanfaat untuk anda. Pengertian tuas macam cara kerja rumus dan contohnya oleh parta ibeng diposting pada 26 agustus 2020 pendidikancoid kesempatan ini kita akan membahas mengenai tuas atau pengungkit penjelasan selengkapnya mengenai tuas ini akan diuraikan sebagai berikut.

Tuas dibagi menjadi tiga macam selengkapnya berikut ini. Pengertian tuas atau pengungkit rumus contoh dan macam macam jenis tuas atau pengungkit dilengkapi cara kerja tuas oleh berpendidikan diposting pada 5 desember 2015 16 maret 2019. Ternyata penggunaan tuas ini ada manfaatnya lhoapalagi manfaatnya kalau bukan untuk meringankan beban kerja yang ingin kita lakukancoba deh kamu bayangkan kalau nggak ada sekop mamang tukang bangunan jadi susah kan buat mengaduk semen.

Coba perhatikan gambar di atas. Pembahasan kali ini adalah tentang pengertian tuas atau pengungkit contoh tuas atau pengungkit rumus tuas atau pengungkit macam macam jenis tuas atau pengungkit dan cara kerja tuas atau pengungkit. Fungsi tuas yaitu untuk memudahkan atau meringankan pekerjaan manusia.

Titik a disebut dengan titik kuasa yaitu tempat melakukan usaha atau kerja. Sekarang kamu sudah tahu kan apa itu tuas dan apa saja jenis jenisnya.

lazy


Fisika Kelas 8 Mengenal Jenis Jenis Tuas
blog.ruangguru.com
lazy


Pesawat Sederhana Pengertian Jenis Rumus Fungsi Keuntungan Dan Contoh
pakdosen.pengajar.co.id
lazy


Tuas Pengertian Jenis Cara Kerja Rumus Contohnya
seputarilmu.com
lazy


Pengertian Jenis Rumus Hingga Contoh Pesawat Sederhana Lengkap
cerdika.com
lazy


Pengertian Tuas Atau Pengungkit Rumus Contoh Dan Macam Macam Jenis Tuas Atau Pengungkit Dilengkapi Cara Kerja Tuas Berpendidikan Com
www.berpendidikan.com
lazy


Pengertian Tuas Atau Pengungkit Rumus Macam Macam Dan Contoh Tuas Lengkap Pelajaran Sekolah Online
www.pelajaran.co.id
lazy


Pengertian Jenis Rumus Hingga Contoh Pesawat Sederhana Lengkap
cerdika.com
lazy


Pengertian Dan Jenis Tuas Pengungkit Belajar Mipa
www.belajarmipa.com
lazy


Tuas Pengertian Jenis Cara Kerja Rumus Contohnya
seputarilmu.com
lazy


Pesawat Sederhana Rumus Contoh Bidang Miring Tuas Gambar
www.dosenpendidikan.co.id
lazy


Pesawat Sederhana
www.slideshare.net
lazy


Keuntungan Mekanis Pesawat Sederhana Idschool
idschool.net
lazy


Pengertian Dan Jenis Tuas Pengungkit Belajar Mipa
www.belajarmipa.com
lazy


Fisika Kelas 8 Mengenal Jenis Jenis Tuas
blog.ruangguru.com
lazy


Gambar Tuas Jenis 1 2 3
kumpulanberbagaijenis.blogspot.com
lazy


Pesawat Sederhana Jenis Rumus Gambar Soal
rumuspintar.com
lazy


Pesawat Sederhana Pengertian Jenis Dan Contoh Soalnya
www.seputarpengetahuan.co.id
lazy


Keuntungan Mekanis Pesawat Sederhana Idschool
idschool.net
lazy


Rumus Bidang Miring Keuntungan Mekanis Gambar Dan Contoh Soal
rumusrumus.com
lazy


Cara Mudah Mengingat Perbedaan Tuas Jenis Satu Dua Dan Tiga Menambah Wawasan
wawasan85.blogspot.com
lazy


Modul Rumus Soal Pesawat Sederhana Wardaya College
www.wardayacollege.com
lazy


10 Soal Essay Pesawat Sederhana Beserta Jawabannya Guru Bangsa
gurubangsa.com
lazy


Pengertian Dan Macam Macam Jenis Tuas Pengungkit Rumus Serta Contoh Soal Tuas Pengungkit
duniapendidikan212.blogspot.com
lazy


Termasuk Pengungkit Jens Berapakah Gambar Diatas Mengapa Demikian Sebutkan Dua Contoh Benda Yg Brainly Co Id
brainly.co.id
lazy


Pesawat Sederhana Pengertian Rumus Dan Contoh Soal Haloedukasi Com
haloedukasi.com
lazy


Doc Tugas Kelompok Fatur Rozi Academia Edu
www.academia.edu
lazy


Pesawat Sederhana Rumus Contoh Bidang Miring Tuas Gambar
www.dosenpendidikan.co.id
lazy


Pesawat Sederhana Pengertian Jenis Rumus Contoh Soalnya
seputarilmu.com
lazy


Contoh Bidang Miring Pengertian Keuntungan Mekanis Fungsi
www.dosenpendidikan.co.id
lazy


Pengertian Jenis Jenis Dan Contoh Soal Pesawat Sederhana Beserta Pembahasan Lengkap Pelajaran Sekolah Online
www.pelajaran.co.id
lazy


Pengertian Tuas Atau Pengungkit Rumus Macam Macam Dan Contoh Tuas Lengkap Pelajaran Sekolah Online
www.pelajaran.co.id
lazy


1 Termasuk Pengungkit Jenis Berapakah Gambar Tersebut Mengapa Demikian Sebutkan Dua Contoh Benda Brainly Co Id
brainly.co.id
lazy


Katrol Rumus Keuntungan Mekanis Contoh Soal Fisika
www.fisika.co.id
lazy


Pengertian Dan Jenis Tuas Pengungkit Belajar Mipa
www.belajarmipa.com
lazy


Pengungkit Jenis 2 Dan Rumusnya Brainly Co Id
brainly.co.id
lazy


20 Soal Pesawat Sederhana Pilihan Ganda Dan Jawaban Pembahasan
soalkimia.com
lazy


Rangkuman Materi Pesawat Sederhana Pengertian Macam Dan Rumus Dwi Purwanto
dwipurwantoid.blogspot.com
lazy


Pesawat Sederhana Rumus Contoh Bidang Miring Tuas Gambar
www.dosenpendidikan.co.id
lazy


Makalah Pesawat Sederhana
www.slideshare.net
lazy


Pengertian Pesawat Sederhana Jenis Jenis Dan Contohnya
www.sumberpengertian.id
lazy


Pesawat Sederhana Pengertian Jenis Rumus Contoh Soalnya
seputarilmu.com
lazy


Pengertian Jenis Dan Keuntungan Mekanis Katrol
mafia.mafiaol.com
lazy


Contoh Soal Dan Pembahasan Pesawat Sederhana
www.teknokiper.com
lazy


Rumus Bidang Miring Keuntungan Mekanis Gambar Dan Contoh Soal
rumusrumus.com
lazy


Pengertian Tuas Atau Pengungkit Rumus Macam Macam Dan Contoh Tuas Lengkap Pelajaran Sekolah Online
www.pelajaran.co.id
lazy


Pesawat Sederhana Meliputi Rumus Bidang Miring Tuas Dan Katrol
rumusrumus.com
lazy


Hidup Lebih Efisien Dengan 6 Pesawat Sederhana Kaaffah Xyz
kaaffah.xyz
lazy


Pengertian Rumus Jenis Tuas Pengertian Ahli Pengertian Ahli
pengertianahli.id
lazy


Pengertian Tuas Macam Cara Kerja Rumus Dan Contohnya
pendidikan.co.id
lazy


Penerapan Pesawat Sederhana Pengungkit Tuas Lanjutan Artikelnesia
artikelnesia.com
lazy


Pengertian Serta Rumus Tuas Atau Pengungkit Beserta Contoh Soal Tuas Dan Pengungkit
e-the-l.blogspot.com
lazy


Pengertian Jenis Rumus Hingga Contoh Pesawat Sederhana Lengkap
cerdika.com
lazy


Jenis Jenis Pengungkit Tuas Dan Contohnya Dalam Kehidupan
www.amongguru.com
lazy


Pelajaran Ipa Materi Soal Pesawat Sederhana Kelas 8 Sekolah Menengah Kurikulum Pelajaran
pelajarancg.blogspot.com
lazy


Pengertian Tuas Atau Pengungkit Rumus Contoh Dan Macam Macam Jenis Tuas Atau Pengungkit Dilengkapi Cara Kerja Tuas Berpendidikan Com
www.berpendidikan.com
lazy


Perhatikan Gambar Tuas Berikut Tuas Dalam Keadaan Seimbang Saat Posisi Beban Dan Kuasa Seperti Brainly Co Id
brainly.co.id
lazy


Fisika Kelas 8 Mengenal Jenis Jenis Tuas
blog.ruangguru.com
lazy


Contoh Soal Dan Pembahasan Tuas Atau Pengungkit
mafia.mafiaol.com
lazy


Pesawat Sederhana Pengertian Jenis Rumus Contoh Soalnya
seputarilmu.com
lazy


Pesawat Sederhana Pengertian Jenis Rumus Dan Contohnya Teks Co Id
teks.co.id
lazy


Pesawat Sederhana
artikel-kependidikan.blogspot.com
lazy


Materi Terlengkap Pesawat Sederhana Tuas Atau Pengungkit Sains Seru
www.sainsseru.com
lazy


1
encrypted-tbn0.gstatic.com
lazy


Jenis Jenis Pesawat Sederhana Beserta Pengertian Dan Rumus Materi Belajar
www.materi4belajar.com
lazy


Pengertian Tuas Macam Cara Kerja Rumus Dan Contohnya
pendidikan.co.id
lazy


Tuas Pengungkit Rumus Keuntungan Mekanis Contoh Soal Fisika
www.fisika.co.id
lazy


Gambar Tuas Jenis 1 2 3
kumpulanberbagaijenis.blogspot.com
lazy


Pesawat Sederhana Jenis Rumus Gambar Soal
rumuspintar.com
lazy


Https Encrypted Tbn0 Gstatic Com Images Q Tbn 3aand9gcruukpt24t0y5ai9eyttq5mcbfcmkqbw6hr7mf06qygmfu6yfef Usqp Cau
encrypted-tbn0.gstatic.com
lazy


Pesawat Sederhana Jenis Rumus Keuntungan Mekanis Soal Fisika
www.fisika.co.id
lazy


Pesawat Sederhana Tuas Bidang Miring Katrol Roda Berporos Juragan Les
www.juraganles.com
lazy


Gambar Tuas Jenis 1 2 3
kumpulanberbagaijenis.blogspot.com
lazy


Pesawat Sederhana Pengertian Jenis Dan Contoh Soalnya
www.seputarpengetahuan.co.id
lazy


Pesawat Angkat Kelompok B Dongkrak
www.slideshare.net
lazy


Penerapan Pesawat Sederhana Pengungkit Tuas Lanjutan Artikelnesia
artikelnesia.com
lazy


Rumus Bidang Miring Keuntungan Mekanis Gambar Dan Contoh Soal
rumusrumus.com
lazy


Pengertian Rumus Jenis Tuas Pengertian Ahli Pengertian Ahli
pengertianahli.id
lazy


Pengertian Tuas Atau Pengungkit Rumus Contoh Dan Macam Macam Jenis Tuas Atau Pengungkit Dilengkapi Cara Kerja Tuas Berpendidikan Com
www.berpendidikan.com
lazy


Usaha Dan Pesawat Sederhana Dalam Kehidupan Sehari Hari Ilmu Pengetahuan Alam
smpn1wonosari.sch.id
lazy


Rumus Bidang Miring Keuntungan Mekanis Gambar Dan Contoh Soal
rumusrumus.com
lazy


Pengertian Tuas Atau Pengungkit Rumus Contoh Dan Macam Macam Jenis Tuas Atau Pengungkit Dilengkapi Cara Kerja Tuas Berpendidikan Com
www.berpendidikan.com
lazy


Tuas Pengungkit Rumus Keuntungan Mekanis Contoh Soal Fisika
www.fisika.co.id
lazy


Tuas Pengertian Jenis Dan Prinsip Kerja Halaman All Kompas Com
www.kompas.com
lazy


Pernyataan Yang Benar Tentang Sistem Kerja Pengungkit Sesuai Gambar Diatas Adalah Brainly Co Id
brainly.co.id
lazy


Pesawat Sederhana Meliputi Rumus Bidang Miring Tuas Dan Katrol
rumusrumus.com
lazy


Pengertian Dan Macam Macam Jenis Tuas Pengungkit Rumus Serta Contoh Soal Tuas Pengungkit
duniapendidikan212.blogspot.com
lazy


Https Encrypted Tbn0 Gstatic Com Images Q Tbn 3aand9gcs Wpv5d4jbdwryeuhferxpl0ib59an6fndjzwfsu39axih9mau Usqp Cau
encrypted-tbn0.gstatic.com
lazy


Rumus Katrol Pengertian Rumus Jenis Jenis Pesawat Sederhana Katrol
gurusekolah.co.id
lazy


Tuas Pengungkit Rumus Keuntungan Mekanis Contoh Soal Fisika
www.fisika.co.id
lazy


Modul Rumus Soal Pesawat Sederhana Wardaya College
www.wardayacollege.com
lazy


Tuas Pengungkit Rumus Keuntungan Mekanis Contoh Soal Fisika
www.fisika.co.id
lazy


Penerapan Pesawat Sederhana Pengungkit Tuas Lanjutan Artikelnesia
artikelnesia.com
lazy


Peswat Sederhana Idschool
idschool.net
lazy


Pengertian Tuas Macam Cara Kerja Rumus Dan Contohnya
pendidikan.co.id
lazy


Pengertian Dan Jenis Tuas Pengungkit Belajar Mipa
www.belajarmipa.com
lazy


Tuas Pengertian Jenis Dan Prinsip Kerja Halaman All Kompas Com
www.kompas.com
lazy


Tolong Sebutkan Contoh Benda Tuas Jenis 1 2 Dan 3 Masing Masing 20 Benda Brainly Co Id
brainly.co.id
lazy


Modul Rumus Soal Pesawat Sederhana Wardaya College
www.wardayacollege.com

Random Posts